球体表面积公式推导(2种方法) - 微积分应用
球体表面积公式推导(2种方法) - 微积分应用
我们知道,球体表面积:

下面,我们用2种相对比较容易理解的方法来推导球体的表面积公式。
第1种方法:切片法+积分 推导球体表面积公式
1)将球心置于坐标系的原点O;

2)将球体无限切割成均匀薄片。
任取其中一张薄片分析

任意一张 厚度为dr的薄片
A,B分别为薄片的内侧点和外侧点
θ为A到圆心O的夹角

圆环内圆的半径:

圆环内圆的周长:

展开后的圆环近似为一个长方形,如图:

圆环展开后的图形,底为AB弧长,高为圆环内圆周长


球体表面面积S = 所有圆环面积之和

球体表面积=所有圆环面积之和
等价于以下积分形式:



延伸思考:
作球体切片积分时,设 圆环薄片圆心C到O的距离为r,薄片的厚度为dr,



注意用红色字体标注的部分,与已推导出来的积分式不一样

已推导出来的积分式
导致积分结果不一样,思考一下,为什么?
望感兴趣的朋友留言解答。
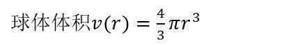
第2种方法:从球体体积公式推导球体表面积公式
将球体看作 由n个高度为dr的薄层构成
每剥开一层,球体的体积就减少dv,


对球体体积函数v(r)求导,可得到球体表面积关于半径的函数s(r):

-
- 皇室战争:一个宝箱能出2张传奇卡?改版后,每次开箱都充满悬念
-
2026-03-01 09:00:04
-
- 黑龙江高校排名调整:哈工程第2,黑龙江大学第6,佳木斯大学第12
-
2026-03-01 08:57:49
-
- 过年前腌咸鸭蛋,别再泡盐水了,教你1个土方法,30天流油起沙
-
2026-03-01 08:55:35
-
- 广东交通:“二广高速”是广东到广西的高速公路?并非如此!
-
2026-03-01 08:53:21
-
- K784次列车由萍乡至昆山,需要在南京转向
-
2026-03-01 08:51:06
-
- 2024年春节不一般,与往年有4大变化!你知道是哪几个吗?
-
2026-03-01 08:48:52
-
- 余男谈王全安:这决定我做得太对了!
-
2026-03-01 08:46:38
-
- 想要把你留在这里,年少转身成芳华
-
2026-03-01 08:44:24
-
- 洗衣机烘干中途停止门打不开?别慌,教你解决
-
2026-03-01 08:42:09
-
- 王者荣耀“阿离”绝美整套写真(凄美台词)
-
2026-03-01 08:39:55
-
- 深海探秘:巨型章鱼的隐藏与捕食技巧
-
2026-03-01 08:37:41
-
- 女子在马拉松赛道冲撞并脚踢民警,已被采取刑事强制措施
-
2026-03-01 08:35:26
-
- 聊聊那Soviet Heavy Draft苏维埃重挽马
-
2026-03-01 08:33:12
-
- 湖北汽车工业学院2024年招生计划及近三年录取分数【湖北省】
-
2026-03-01 08:30:59
-
- 广州:超1.5万家小微商户参与市场采购贸易试点
-
2026-03-01 08:28:43
-
- 福州大学 2025 年招生计划:生源国际化与多样化并进
-
2026-03-01 08:26:29
-
- 多个平台回应“烟花非法运输链”:货拉拉称系司机私下接单,申通快递涉事网点
-
2026-03-01 08:24:15
-
- 出门旅行 乘飞机记得这些物品不能带
-
2026-03-01 08:22:01
-
- 北斗推出导航软件了?别上当
-
2026-03-01 08:19:46
-
- 20张令人细思极恐的诡异照片,胆小者千万别看,你该睡不着了
-
2026-03-01 08:17:32



史玉柱:从巨人到大闲人
男子和三个美女自愿开房并发生性关系,是否构成聚众淫乱罪?