几何平均数公式和定义(四种平均数的几何意义)
几何平均数公式和定义(四种平均数的几何意义)
医学研究中有一类比较特殊的资料,如抗体滴度、细菌计数、血清凝集效价、某些物质浓度等,其数据特点是观察值间按倍数关系变化,对此可以计算几何均数以描述其平均水平。
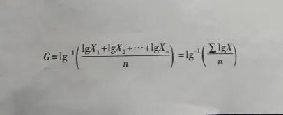
几何均数用G表示,计算公式如下:

即将n个观测值连乘后开n次方。为了计算方便,常改用对数的形式计算,即:

几何均数在医学研究领域多用于血清学和微生物学中。有些明显呈偏态分布的资料经过对数变换后呈对称分布,也可以采用几何均数描述其平均水平,但要注意观察值中不能有0或负数,否则在作对数变换之前需要加一个常数。一般情况下,同一组观察值的几何均数总是小于它的算数均数。
相关标签:
-
- 桔梗花的传说(桔梗花的花语)
-
2023-10-22 06:40:23
-
- 江南女子是指哪里的人
-
2023-10-22 06:38:08
-
- 斛珠夫人紫簪公主怎么死的
-
2023-10-22 06:35:53
-
- 胡杨林主要在什么地方(胡杨介绍)
-
2023-10-22 06:33:38
-
- dota2怎样自定义聊天轮盘?(dota2怎么设置聊天轮盘)
-
2023-10-22 06:31:24
-
- 煮鸡蛋冷水下锅还是热水(煮鸡蛋方法)
-
2023-10-22 06:29:09
-
- 长津湖之水门桥片尾曲叫什么名字(片尾曲叫)
-
2023-10-22 06:26:54
-
- 杨采妮怀孕的照片(杨采妮怀孕5个月)
-
2023-10-22 06:24:40
-
- 宣泄情绪的方法(正确有效宣泄情绪的流程)
-
2023-10-22 06:22:25
-
- 心似双丝网中有千千结什么意思 出自哪里
-
2023-10-22 06:20:11
-
- XXXTENTACION母亲宣布:将利用全息技术开展巡演)
-
2023-10-22 00:35:46
-
- 重阳节是农历几月几日(你知道吗)
-
2023-10-22 00:33:31
-
- 一人腰上挂把弓打一字
-
2023-10-22 00:31:16
-
- 下不为例打一生肖
-
2023-10-22 00:29:02
-
- 说好普通话的手抄报五年级简单(说好普通话圆梦你我他)
-
2023-10-22 00:26:46
-
- 平原君是哪国人
-
2023-10-22 00:24:32
-
- 景仁宫是干什么的地方
-
2023-10-22 00:22:17
-
- 弹拨乐器有哪些(中国有哪些弹拨乐器)
-
2023-10-22 00:20:02
-
- 冰袋的使用方法(冰袋使用方法详解)
-
2023-10-22 00:17:48
-
- runningman中国特辑是哪期
-
2023-10-22 00:15:33



广东最美警花王菲,与86名高官发生过关系,疯狂敛财上亿元!
男子和三个美女自愿开房并发生性关系,是否构成聚众淫乱罪?